本文目录
一元二次不等式的解法十字相乘法?
用因式分解法求一元二次不等式的解集的一般步骤为:①通过移项,把不等式的右边化为0,②利用十字相乘法把一元二次不等式左边因式分解,化为ab<0或ab>0的形式。
③写出一元二次不等式的解集。如x的平方<2x+3,x的平方一2x一3<0,(x+1)(x一3)<0,得到,x+1>0,且x一3<O或x+1<0且x一3>0,得到:一1<x<3或空集。所以此不等式解集为:一1<x<3。
十字相乘的2种方法?
1、十字相乘法的方法:十字左边相乘等于二次项系数,右边相乘等于常数项,交叉相乘再相加等于一次项系数。2、十字相乘法的用处:(1)用十字相乘法来分解因式。(2)用十字相乘法来解一元二次方程。3、十字相乘法的优点:用十字相乘法来解题的速度比较快,能够节约时间,而且运用算量不大,不容易出错。4、十字相乘法的缺陷:1、有些题目用十字相乘法来解比较简单,但并不是每一道题用十字相乘法来解都简单。2、十字相乘法只适用于二次三项式类型的题目。
十字交叉法解方程?
用十字交叉法解方程是一种常用的代数方法,可以简便地解决一些复杂的方程式。首先,通过这种方法可以明确地得出方程的解。其次,它可以帮助人们理解方程的结构,进而加深对数学知识的理解和掌握。具体的方法是,将方程的各项系数按照一个十字的形式排列,然后从左向右再从上往下相乘之后相减得到一个两个未知数的一元二次方程。通过解这个方程,就可以得到原来方程的解。需要注意的是,如果有多项式系数相同时需要对应的使用“+”或“-”,从而保证得到正确的解。
七年级数学十字相乘法公式?
1、十字相乘法的方法:十字左边相乘等于二次项系数,右边相乘等于常数项,交叉相乘再相加等于一次项系数。
2、十字相乘法的用处:
(1)用十字相乘法来分解因式。
(2)用十字相乘法来解一元二次方程。
3、十字相乘法的优点:用十字相乘法来解题的速度比较快,能够节约时间,而且运用算量不大,不容易出错。
4、十字相乘法的缺陷:
1、有些题目用十字相乘法来解比较简单,但并不是每一道题用十字相乘法来解都简单。
2、十字相乘法只适用于二次三项式类型的题目。
3、十字相乘法比较难学。 例1把m2+4m-12分解因式 分析:本题中常数项-12可以分为-1×12,-2×6,-3×4,-4×3,-6×2,-12×1当-12分成-2×6时,才符合本题 解:因为1-2 1╳6 所以m2+4m-12=(m-2)(m+6) 例2把5x2+6x-8分解因式 分析:本题中的5可分为1×5,-8可分为-1×8,-2×4,-4×2,-8×1。
当二次项系数分为1×5,常数项分为-4×2时,才符合本题 解:因为12 5╳-4 所以5x2+6x-8=(x+2)(5x-4)
十字相乘法的原理及运用?
1、十字相乘法的方法:十字左边相乘等于二次项系数,右边相乘等于常数项,交叉相乘再相加等于一次项系数.
2、十字相乘法的用处:(1)用十字相乘法来分解因式.(2)用十字相乘法来解一元二次方程。
3、十字相乘法解题实例:
1)、 用十字相乘法解一些简单常见的题目
例1把m2+4m-12分解因式
分析:本题中常数项-12可以分为-1×12,-2×6,-3×4,-4×3,-6×2,-12×1当-12分成-2×6时,才符合本题
因为 1 -2
? ? ? ? 1 ╳ 6
所以m2+4m-12
? ? ? ?=(m-2)(m+6)
例2把5x2+6x-8分解因式
分析:本题中的5可分为1×5,-8可分为-1×8,-2×4,-4×2,-8×1.当二次项系数分为1×5,常数项分为-4×2时,才符合本题
因为 1? ? 2
? ? ? ? 5 ╳ -4
所以5x2+6x-8
? ? ? ?=(x+2)(5x-4)
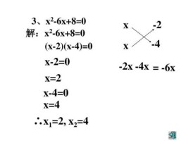
例3解方程x2-8x+15=0
分析:把x2-8x+15看成关于x的一个二次三项式,则15可分成1×15,3×5.
因为 1? ?-3
? ? ? ? 1 ╳ -5
所以原方程可变形
(x-3)(x-5)=0
所以x1=3? ? x2=5
例4、解方程 6x2-5x-25=0
分析:把6x2-5x-25看成一个关于x的二次三项式,则6可以分为1×6,2×3,-25可以分成-1×25,-5×5,-25×1.
因为 2? ? -5
? ? ? ? ?3 ╳ 5
所以 原方程可变形成
(2x-5)(3x+5)=0
所以 x1=5/2? ? ?x2=-5/3
2)、用十字相乘法解一些比较难的题目
例5把14x2-67xy+18y2分解因式
分析:把14x2-67xy+18y2看成是一个关于x的二次三项式,则14可分为1×14,2×7,18y2可分为y.18y ,2y.9y ,3y.6y
因为 2 -9y
? ? ? ? 7 ╳ -2y
所以 14x2-67xy+18y2
? ? ? ?= (2x-9y)(7x-2y)
例6:解关于x方程:x2- 3ax + 2a2–ab -b2=0
分析:2a2–ab-b2可以用十字相乘法进行因式分解
x2- 3ax + 2a2–ab -b2=0
x2- 3ax +(2a2–ab - b2)=0
x2- 3ax +(2a+b)(a-b)=0? ? ? 1 -b
2 ╳ +b
[x-(2a+b)][ x-(a-b)]=0?
1? ? -(2a+b)
1 ╳ -(a-b)
所以 x1=2a+b? ? ? x2=a-b



还没有评论,来说两句吧...